Καλωσήρθες στην Άλγεβρα της Β' Λυκείου

1.1 Γραμμικές εξισώσεις
1.1 Γραμμικά συστήματα
1.1 Γραμμικά συστήματα (Ασκήσεις Α' ομάδας)
1.1 Γραμμικά συστήματα (Ασκήσεις B' ομάδας)
1.2 Mη Γραμμικά συστήματα (Ασκήσεις A' ομάδας)
1.2 Mη Γραμμικά συστήματα (Ασκήσεις Β' ομάδας)
2.1 Πρώτο μέρος: Επανάληψη στις συναρτήσεις
2.1 Δεύτερο μέρος: Μονοτονία συνάρτησης
2.1 Μονοτονία ακρότατα, συμμετρίες συνάρτησης (Ασκήσεις Α' ομάδας)
2.1 Τρίτο μέρος: Ακρότατα συνάρτησης
2.1 Τέταρτο μέρος: Συμμετρίες συνάρτησης
2.1 Μονοτονία ακρότατα, συμμετρίες συνάρτησης (Ασκήσεις Α' ομάδας)
3.1 Μέρος πρώτο: Οι τριγωνομετρικοί αριθμοί
3.1 Μέρος δεύτερο: Ο τριγωνομετρικός κύκλος
3.2 Οι τριγωνομετρικές ταυτότητες
3.3 Αναγωγή στο πρώτο τεταρτημόριο (πρώτο μέρος)
3.3 Αναγωγή στο πρώτο τεταρτημόριο (δεύτερο μέρος)
3.3 Αντίθετες γωνίες
4.1 Εισαγωγή στα πολυώνυμα
4.1 Βαθμός και ρίζες πολυωνύμου
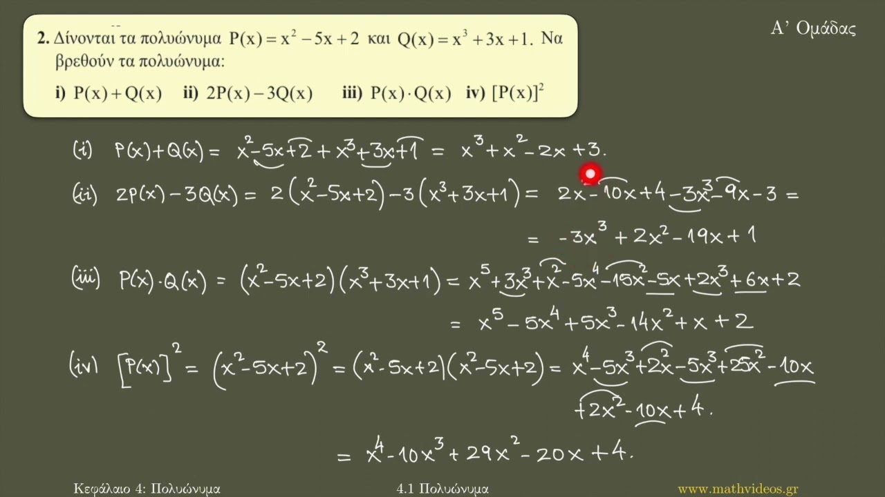
4.1 Πράξεις με πολυώνυμα